
23.03.2026Die GMP-gerechte Planung technischer Systeme in der pharmazeutischen Industrie erfordert ein strukturiertes Validierungsmanagement. Im Fokus dieses Beitrags stehen PW- und WFI-Systeme sowie ...
23.03.2026Seit 2011 gibt es das AMNOG-Verfahren: Es spielt eine zentrale Rolle bei der Versorgung von Patient:innen mit Arzneimittelinnovationen. Im AMNOG wird der Zusatznutzen neuer Therapien bewertet. ...
23.03.2026Seit mehr als einem Jahr ist die EU-Kommunalabwasserrichtlinie (KARL) in Kraft. Diese sieht eine vierte Reinigungsstufe in Kläranlagen vor, um Mikroverunreinigungen aus dem kommunalen Abwasser zu ...
23.03.2026Das Fraunhofer-Institut für Toxikologie und Experimentelle Medizin ITEM hat den Verkauf seines Standorts in Braunschweig an die AveThera GmbH erfolgreich abgeschlossen. Durch den Verkauf wird der ...
23.03.2026FAMAR, ein führendes europäisches Auftragsentwicklungs- und Fertigungsunternehmen, gibt die Ernennung seiner neuen Führungskräfte bekannt: Avra Gouveri als Group Chief Customer Officer und Mara ...
23.03.2026Biotium, ein führender Anbieter von Fluoreszenzreagenzien und -kits für die Life-Science-Forschung, gibt die Markteinführung des ViaPlex™ 2-Farben-Zell-Barcoding-Kits bekannt . Durch die ...
23.03.2026AL-S Pharma AG, ein Biotechnologieunternehmen in der klinischen Entwicklungsphase, das humane Antikörper gegen fehlgefaltete Proteine im Zusammenhang mit amyotropher Lateralsklerose (ALS) erforscht ...
23.03.2026Evotec SE gab bekannt, dass ihr Partner Bristol Myers Squibb (BMS) eine klinische Phase-1-Studie zur Bewertung des CELMoD-Wirkstoffs BMS-986506, eines Cereblon-E3-Ligase-Modulators, bei klarzelligem ...
23.03.2026Touchlight gibt in Zusammenarbeit mit New England Biolabs (NEB®) die Markteinführung des EnClose™ Cell-free dbDNA™ Synthesis Kits bekannt. Diese neue Tischlösung ermöglicht die schnelle ...

Beitrag aus der Ausgabe 10/2025 der Zeitschrift pharmind
Hype oder Organisationsaufgabe?
Hype oder Organisationsaufgabe? – Das ist natürlich eine rhetorische Frage. „Hype“ ist negativ konnotiert: Etwas, das rasch wieder vergeht und kaum Erinnerungen hinterlässt. Dies trifft auf Künstliche Intelligenz (KI) allerdings nicht zu. Den Begriff gibt es schon seit beinahe 80 Jahren. In dieser Zeit gab es verschiedene Phasen, die jeweils die öffentliche Diskussion befeuert haben. Es blieb jeweils auch etwas übrig, ...

Beitrag aus der Ausgabe 10/2025 der Zeitschrift pharmind
Sandkühler | Computergestützte Systeme
Die rasante Entwicklung der Informationstechnologie hat dazu geführt, dass computergestützte Systeme in nahezu allen industriellen Bereichen eine zentrale Funktion einnehmen. Insbesondere in der pharmazeutischen und biotechnologischen Industrie sind diese Systeme für die Verwaltung und Verarbeitung sensibler Daten, die Steuerung und Überwachung von Produktionsprozessen sowie für die Einhaltung regulatorischer Vorgaben unverzichtbar. Mit der ...
Beitrag aus der Ausgabe 10/2025 der Zeitschrift pharmind
Markt, Regulierung und Zukunftsperspektiven – Teil 1
Pflanzliche Arzneimittel (Phytopharmaka) sind ein wichtiger Bestandteil in unserem Gesundheitssystem und haben sich besonders in der Selbstmedikation etabliert. Sie sind leicht verfügbar und eignen sich v. a. für die Behandlung leichter Beschwerden und Erkrankungen. Am häufigsten werden sie als Mittel gegen Erkältungserkrankungen, Magen- und Verdauungsbeschwerden sowie als Beruhigungsmittel eingesetzt [1]. In der Regel zeichnen sich ...

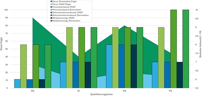
Beitrag aus der Ausgabe 2/2026 der Zeitschrift pharmind
Warum die Validierungsdokumentation den entscheidenden Mehraufwand bedeutet
Die GMP-gerechte Planung und Umsetzung von Reinmedienanlagen in der pharmazeutischen Industrie erfordert ein umfassendes Validierungs- und Dokumentationsmanagement, das die regulatorischen Anforderungen von Beginn an berücksichtigt. Systeme zur Erzeugung und Distribution von Gereinigtem Wasser (Purified Water, PW) und Wasser für Injektionszwecke (Water for Injection; WFI) berühren das Produkt direkt und müssen daher sämtliche Spezifikationen ...


Beitrag aus der nächsten Ausgabe 3/2026 der Zeitschrift pharmind
(erscheint am 31.03.2026)
Standard Reference Documents (SRDs) sind ein in vielen Pharmaunternehmen etablierter Dokumententyp, mithilfe dessen vertiefte Anfragen von Heilberuflern beantwortet werden. Dieser Dokumententyp kann nun über die etablierten Kommunikationskanäle wie Telefon, E-Mail, Außendienst oder Post hinaus auch über einen digitalen Kanal angeboten werden. Damit kann eine asynchrone Informationsbeschaffung, also ohne die unmittelbare Weitergabe der Information durch einen Mitarbeiter, umgesetzt werden. Arzneimittelkompendien sind eine ideale Schnittstelle für die digitale Anbindung dieses Dokumententyps als niederschwelliges Instrument für den digitalen Wissenstransfer zwischen Pharmaindustrie und Heilberuflern und dienen damit der Sicherstellung der Arzneimitteltherapiesicherheit.
